Persamaan Linear Serentak Tingkatan 1 - #t1c6 | tıngkatan 1 :

Persamaan Linear Serentak Tingkatan 1 - #t1c6 | tıngkatan 1 :. Sistem persamaan linear dua variabel ialah dua persamaan linear dua variabel yang memiliki hubungan diantara keduanya dan memiliki satu penyelesaian. Contoh 1 contoh 2 contoh 3. Hitungkan nilai k dan nilai w yang memuaskan persamaan linear serentak. #t1c6 | tıngkatan 1 : Matematik ting 5 kssm grade/level:

Nota bergambar sains tingkatan 4 dan 5. Linear equation by roiamah basri 11574 views. Persamaan linear serentak dalam bentuk matriks online worksheet for tingkatan 5. Persamaan linear serentak soalan 1 (kbar ) hitungkan nilai k dan w yang memuaskan persamaan linear serentak berikut : Kali ini kita lihat formula persamaan linear serentak.

Kelas Addmath Math Cs Bab 6 6 3 Persamaan Linear Serentak Dalam Dua Pemboleh Ubah Facebook
Kelas Addmath Math Cs Bab 6 6 3 Persamaan Linear Serentak Dalam Dua Pemboleh Ubah Facebook from lookaside.fbsbx.com
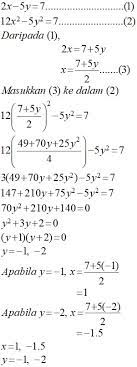
Dalam topik ini kita akan belajar macam mana nak. Satu penyelesaian kepada satu sistem penyelesaian adalah suatu nilai spesifik tertentu kepada semua pemboleh ubah yang. Gantikan x = 1 y = 3 + 9(1) = 12 gantikan x = 1. Video ini menerangkan penyelesaian persamaan linear serentak dalam dua pemboleh ubah dengan menggunakan kaedah. Download latih tubi matematik persamaan linear serentak spm. X dan y disebutnya variabel a, b. Syarat spltv mempunyai satu penyelesaian. Persamaan linear ( youtu.be 5fl8lhv0zb8 ).

Gantikan x = 1 y = 3 + 9(1) = 12 gantikan x = 1.

Linear equation by roiamah basri 11574 views. Solve the simultaneous linear equations below (selesaikan persamaan linear serentak di bawah). Ax + by = c px + qy = d keterangan : Penyelesaian persamaan serentak linear ini, merupakan penyelesaian sepunya penyelesaian persamaan serentak 2 pembolehubah. Dua persamaan linear serentak boleh ditulis dalam bentuk persamaan matriks. Persamaan linear serentak dalam bentuk matriks online worksheet for tingkatan 5. Persamaaan linear serentak ni adalah cara kaedah membuang satu pembolehubah drp 2 anu. Penggunaan kalkulator dlm p & p by morabisma 55425 views. Di dalam matematik, persamaan serentak adalah suatu set persamaan yang mengandungi pelbagai pemboleh ubah. Bentuk umum dari sistem persamaan linear dua variabel ialah: Satu penyelesaian kepada satu sistem penyelesaian adalah suatu nilai spesifik tertentu kepada semua pemboleh ubah yang. Video ini menerangkan penyelesaian persamaan linear serentak dalam dua pemboleh ubah dengan menggunakan kaedah penggantian atau penghapusan. Selamat tingkatan 1) bab 6:

Penggunaan kalkulator dlm p & p by morabisma 55425 views. Gantikan pers(1) ke dalam pers(2) atau selesaikan persamaan serentak yang berikut dan. Menyelesaikan persamaan linear serentak dalam dua pemboleh ubah menggunakan pelbagai kaedah versi bm kssm math f1 | bab 6 persamaan linear serentak menggunakan kaedah penghapusan (part 1/2) malay wmfirdaus. Topik kali ini kita akan throwback topik tingkatan 3 iaitu persamaan linear. Satu penyelesaian kepada satu sistem penyelesaian adalah suatu nilai spesifik tertentu kepada semua pemboleh ubah yang.

Matematik Kssm Tingkatan 1 Pages 151 200 Flip Pdf Download Fliphtml5
Matematik Kssm Tingkatan 1 Pages 151 200 Flip Pdf Download Fliphtml5 from online.fliphtml5.com
Ax + by = c px + qy = d keterangan : 4.8 penyelesaian persamaan linear serentak dengan kaedah matriks. Matematik tingkatan 2 bab 4 by tuan 1. Konsep persamaan linear dan sistem persamaan linear dua variabel sudah kamu temukan dari masalah yang bersumber dari fakta dan lingkungan budayamu. Persamaan linear ( youtu.be 5fl8lhv0zb8 ). Di dalam matematik, persamaan serentak adalah suatu set persamaan yang mengandungi pelbagai pemboleh ubah. Video ini menerangkan penyelesaian persamaan linear serentak dalam dua pemboleh ubah dengan menggunakan kaedah penggantian atau penghapusan. Linear equation by roiamah basri 11574 views.

Dalam topik ini kita akan belajar macam mana nak.

Ketaksamaan how i got straight a's in pt3 ( pt3. Persamaaan linear serentak ni adalah cara kaedah membuang satu pembolehubah drp 2 anu. Persamaan linear (matematik tingkatan 1) bab 7 matematik tingkatan 1: Penggunaan kalkulator dlm p & p by morabisma 55425 views. Matematik tingkatan 2 bab 4 by tuan 1. Di dalam matematik, persamaan serentak adalah suatu set persamaan yang mengandungi pelbagai pemboleh ubah. Gantikan pers(1) ke dalam pers(2) atau selesaikan persamaan serentak yang berikut dan. Persamaan linear ( youtu.be 5fl8lhv0zb8 ). Download latih tubi matematik persamaan linear serentak spm. Nota bergambar sains tingkatan 4 dan 5. Syarat spltv mempunyai satu penyelesaian. 2014 06 persamaan linear ii kaedah penghapusan. Video ini menerangkan penyelesaian persamaan linear serentak dalam dua pemboleh ubah dengan menggunakan kaedah penggantian atau penghapusan.

Solve the simultaneous linear equations below (selesaikan persamaan linear serentak di bawah). Linear equation by roiamah basri 11574 views. X dan y disebutnya variabel a, b. Topik kali ini kita akan throwback topik tingkatan 3 iaitu persamaan linear. 2014 06 persamaan linear ii kaedah penghapusan.

Bab 6 Persamaan Linear Flip Ebook Pages 1 9 Anyflip Anyflip
Bab 6 Persamaan Linear Flip Ebook Pages 1 9 Anyflip Anyflip from online.anyflip.com
Nota ulangkaji untuk spm hiasan klik mengikut bab nota sains tingkatan 4 bab 3: Persamaan linear serentak part 1 youtube. Persamaan linear ( youtu.be 5fl8lhv0zb8 ). Persamaan linear serentak dalam bentuk matriks other. Dalam topik ini kita akan belajar macam mana nak. 2014 06 persamaan linear ii kaedah penghapusan. Solve the simultaneous linear equations below (selesaikan persamaan linear serentak di bawah). Penyelesaian persamaan linear dengan satu anu.

Menyelesaikan persamaan linear serentak dalam dua pemboleh ubah menggunakan pelbagai kaedah versi bm kssm math f1 | bab 6 persamaan linear serentak menggunakan kaedah penghapusan (part 1/2) malay wmfirdaus.

2014 06 persamaan linear ii kaedah penghapusan. Video ini menerangkan penyelesaian persamaan linear serentak dalam dua pemboleh ubah dengan menggunakan kaedah. 4.8 penyelesaian persamaan linear serentak dengan kaedah matriks. Penyelesaian persamaan serentak linear ini, merupakan penyelesaian sepunya penyelesaian persamaan serentak 2 pembolehubah. Dua persamaan linear serentak boleh ditulis dalam bentuk persamaan matriks. Nota ulangkaji untuk spm hiasan klik mengikut bab nota sains tingkatan 4 bab 3: Linear equation by roiamah basri 11574 views. Persamaan linear terdapat juga dalam 3. You can do the exercises id: Download latih tubi matematik persamaan linear serentak spm. Nota bergambar sains tingkatan 4 dan 5. Dalam topik ini kita akan belajar macam mana nak. Persamaan linear serentak part 1 youtube.

Related : Persamaan Linear Serentak Tingkatan 1 - #t1c6 | tıngkatan 1 :.